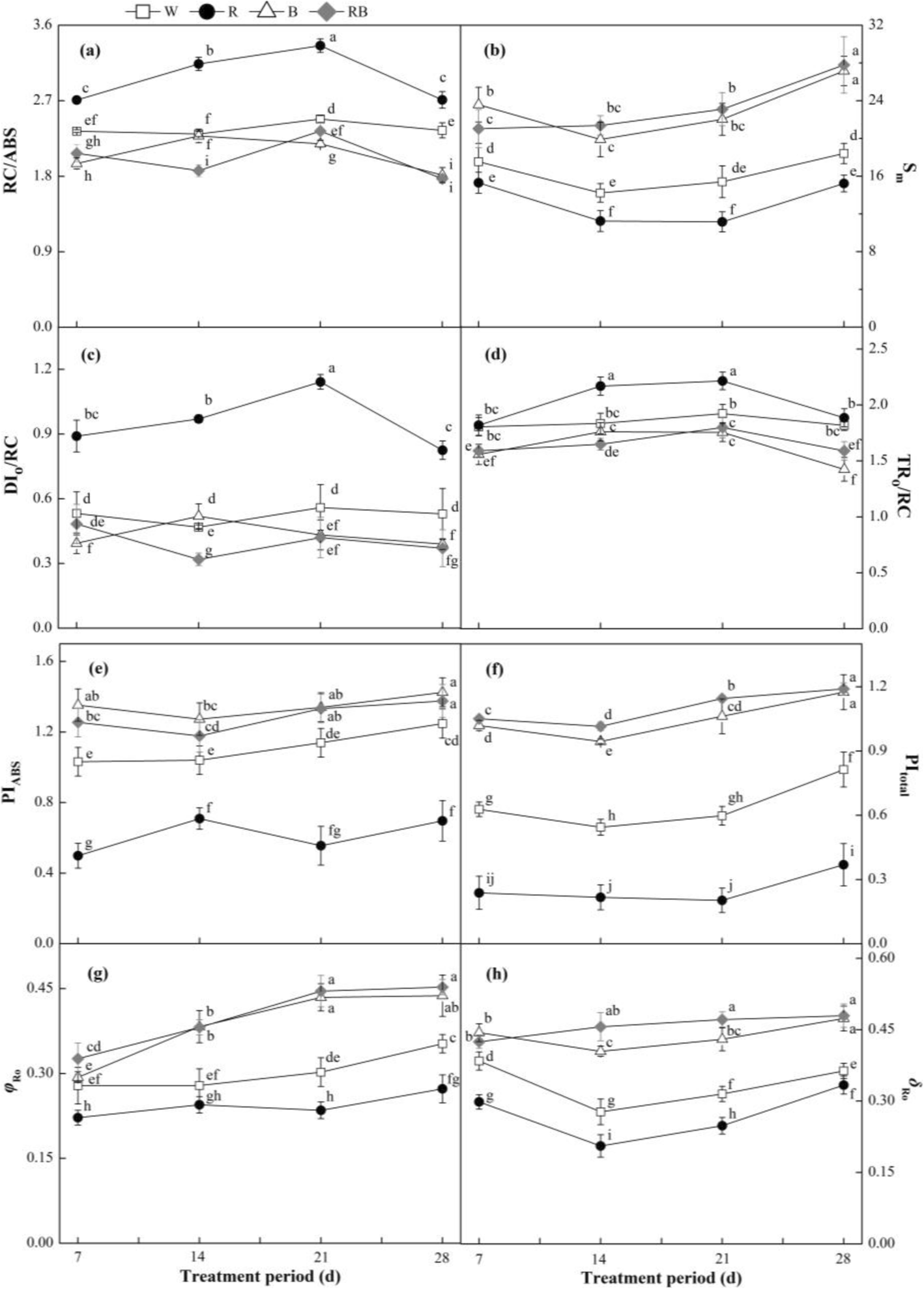
Fig. 7
Effects of different light treatments on JIP-test parameters: (a) RC/ABS, fraction of PSII Chl a molecules that function as reaction centers; (b) Sm, general electronic carrier of the reaction center; (c) DIo/RC, dissipated energy in the reaction center; (d) TRo/RC, maximum trapped energy exciton per active PSII reaction center; (e) PIABS, potential for energy conservation from photons absorbed by PSII to the reduction of the intersystem electron acceptors; (f) PItotal, potential for energy conservation from photons absorbed by PSII to the reduction of PSI end acceptors; (g)ΦRo, quantum yield for reduction of end electron acceptors at the PSI acceptor side; (h)δRo, efficiency/probability with which an electron from the intersystem electron carriers is transferred to reduce end electron acceptors at the PSI acceptor side of sweet pepper seedlings at different experimental periods. Data are presented as means ± SE, n = 3. Different letters indicate significant differences between values (p < 0.05). W, white light; R, monochromatic R light; B, monochromatic B light; RB, mixed R and B light of 3:1. □ W;●R;△B;◆RB
