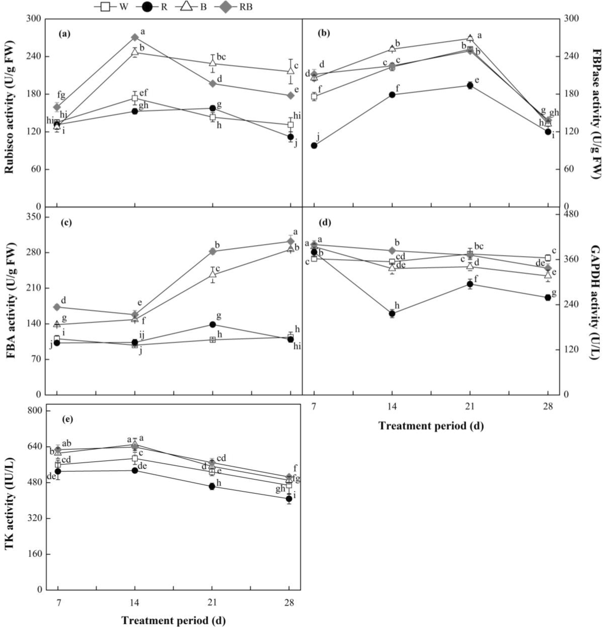
Fig. 8
Effects of different light treatments on activities of Calvin cycle-related enzymes: (a) Rubisco, ribulose-1, 5-bisphosphate carboxylase/oxygenase; (b) FBPase, fructose-1, 6-bisphosphatase; (cFBA),特性,6-bisphosphate醛缩酶;(d) GAPDH, glyceraldehyde-phosphate dehydrogenase; (e) TK, transketolase from sweet pepper seedlings at different experimental periods. Data are presented as means ± SE, n = 3. Different letters indicate significant differences between values (p < 0.05). FW, fresh weight; W, white light; R, monochromatic R light; B, monochromatic B light; RB, mixed R and B light of 3:1. □ W;●R;△B;◆RB
