微博九九
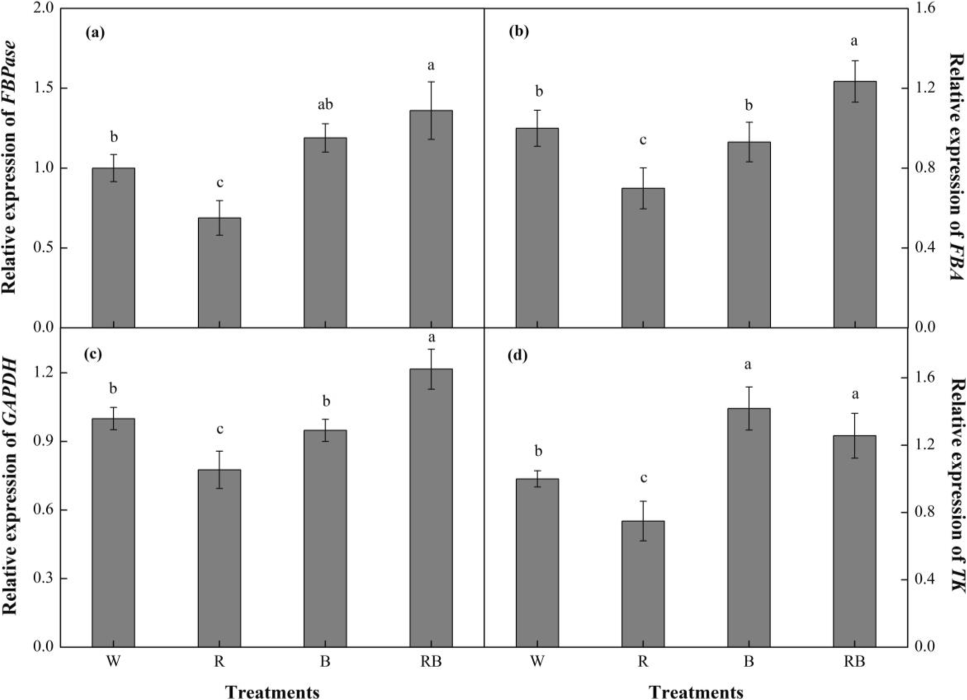
不同光处理对表达式的影响a/)财行局脱机高山市b/)FBPase脱机高山市C级)GAPDH脱机高山市d级)传统知识从甜辣椒树苗处理后28天数据显示为esce++SEn=3不同字母表示值大差公元前< 0.05)W白光R单色路光B单色B光RB混合R光线3:1
不同光处理对表达式的影响a/)财行局脱机高山市b/)FBPase脱机高山市C级)GAPDH脱机高山市d级)传统知识从甜辣椒树苗处理后28天数据显示为esce++SEn=3不同字母表示值大差公元前< 0.05)W白光R单色路光B单色B光RB混合R光线3:1